
Задачи на составление блок-схем алгоритмов

Примеры определения результата выполнения алгоритма по заданной блок-схеме.
Пример 1. Дана блок-схема алгоритма

Определить результат выполнения алгоритма при определённых значениях исходных данных

Определить результат выполнения алгоритма при определённых значениях исходных данных
Например, при x= — 6 или x=0 или x=7
Проверка условия x>0 «Нет» y= -2*(-6)=12
Проверка условия x>0 «Нет» y=-2*0=0 Вывод: y=0
Проверка условия x>0 «Да» y=2*7=14 Вывод: y=14

Определить результат выполнения алгоритма при определённых значениях исходных данных
Например, при n=15 или n=0 или n=-7
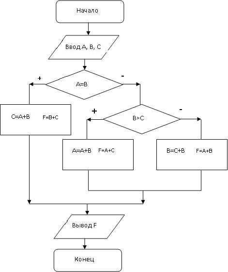
Проверка условия n>0 «Нет» Проверка условия n 0 «Нет» Проверка условия n C «Нет» B=9+8=17; F=7+17=24 Вывод F=24
Проверка условия A=B «Да» С=6+6=12; F=6+12=18 Вывод F=18
Проверка условия A=B «Нет» Ю Проверка условия B>C «Да» Ю A=6+10=16; F=16+(-10)=6 Вывод F=6

Определить результат выполнения алгоритма при определённых значениях исходных данных
Источник
Составление блок схем и решение задач

Задачи на составление блок-схем алгоритмов

Примеры определения результата выполнения алгоритма по заданной блок-схеме.
Пример 1. Дана блок-схема алгоритма

Определить результат выполнения алгоритма при определённых значениях исходных данных

Определить результат выполнения алгоритма при определённых значениях исходных данных
Например, при x= – 6 или x=0 или x=7
Проверка условия x>0 «Нет» y= -2*(-6)=12
Проверка условия x>0 «Нет» y=-2*0=0 Вывод: y=0
Проверка условия x>0 «Да» y=2*7=14 Вывод: y=14

Определить результат выполнения алгоритма при определённых значениях исходных данных
Например, при n=15 или n=0 или n=-7
Проверка условия n>0 «Нет» Проверка условия n 0 «Нет» Проверка условия n C «Нет» B=9+8=17; F=7+17=24 Вывод F=24
Проверка условия A=B «Да» С=6+6=12; F=6+12=18 Вывод F=18
Проверка условия A=B «Нет» Ю Проверка условия B>C «Да» Ю A=6+10=16; F=16+(-10)=6 Вывод F=6

Определить результат выполнения алгоритма при определённых значениях исходных данных
Устанавливая рекомендуемое программное обеспечение вы соглашаетесь
с лицензионным соглашением Яндекс.Браузера и настольного ПО Яндекса .
Задачи на составление блок-схем алгоритмов

Задачи определения результата выполнения алгоритма по заданной блок-схеме.

Определить результат выполнения алгоритма при определённых значениях исходных данных
Д
ана блок-схема алгоритма
Определить результат выполнения алгоритма при определённых значениях исходных данных
Например, при x=-6 или x=0 или x=7

Определить результат выполнения алгоритма при определённых значениях исходных данных
Например, при n=15 или n=0 или n=-7

Определить результат выполнения алгоритма при определённых значениях исходных данных
Например, при A=7; B=8; C=9 или A=6; B=6; C=-10 или A=6; B=10; C=-10

Определить результат выполнения алгоритма при определённых значениях исходных данных



Устанавливая рекомендуемое программное обеспечение вы соглашаетесь
с лицензионным соглашением Яндекс.Браузера и настольного ПО Яндекса .

- Сердинова Елена ВикторовнаНаписать 29270 30.12.2015
Устанавливая рекомендуемое программное обеспечение вы соглашаетесь
с лицензионным соглашением Яндекс.Браузера и настольного ПО Яндекса .
Вам будут интересны эти курсы:


Все материалы, размещенные на сайте, созданы авторами сайта либо размещены пользователями сайта и представлены на сайте исключительно для ознакомления. Авторские права на материалы принадлежат их законным авторам. Частичное или полное копирование материалов сайта без письменного разрешения администрации сайта запрещено! Мнение редакции может не совпадать с точкой зрения авторов.
Ответственность за разрешение любых спорных моментов, касающихся самих материалов и их содержания, берут на себя пользователи, разместившие материал на сайте. Однако редакция сайта готова оказать всяческую поддержку в решении любых вопросов связанных с работой и содержанием сайта. Если Вы заметили, что на данном сайте незаконно используются материалы, сообщите об этом администрации сайта через форму обратной связи.
Цель: выработать умение решать задачи на составление алгоритмов на языке блок – схем.
+ Презентация и самостоятельная работа
Скачать:
Предварительный просмотр:
Тема: Решение задач на составление разветвляющихся алгоритмов.
Цели: выработать умение решать задачи на составление алгоритмов на языке
Оборудование: карточки с заданиями, мультимедийная презентация.
Диктант. Учащиеся выполняют диктант, Решение задач (одновременно с
записывая ответы на листочках. диктантом). 2 ученика у доски.
1. Как обозначается блок означающий вычислительное действие (операцию присваивания)?
2. Как обозначается блок означающий ввод исходных данных, вывод результатов?
3. Разветвляющийся алгоритм – это алгоритм …
Ответ. … в котором в зависимости от истинности условия выполняется та или иная серия команд.
4. Как изображается в блок – схеме ветвление в полной форме?
5.Как оформляется в блок – схеме ветвление в неполной форме?
Теперь поменяйтесь листочками, проверьте, правильно ли ответили на вопрос ваш сосед и поставьте ему оценку (её определяет количество правильных ответов). (Ответы на слайдах).
Карточка №1. Функция y = f(х) задана графиком
Составьте блок-схему решения алгоритма.
Карточка №2. Составить блок – схему алгоритма вычисления значения
Определить результат выполнения алгоритма по его блок – схеме при заданных значениях а и в (а = 2, в = 3). Значения занести в таблицу.
(На примере задания карточки №2).
Составить блок – схему алгоритма решения задачи. Переменной к присвоить номер четверти плоскости в которой находится точка с координатами х и у (х ≠ 0, у ≠ 0).
Практикум. Игра «Ежиные тропы».
1. Составьте по шаблону блок – схему решения задачи (шаблоны раздать
2. Найдите и исправьте ошибки в приведённой блок – схеме. Определите
значения х и у в результате выполнения алгоритма по его блок – схеме при
заданных значениях а, в. Значения переменных, изменяющиеся в процессе
исполнения, занесите в таблицу.
1. Составьте по шаблону блок – схему решения задачи (шаблоны раздать
Заданы три числа – а, в, с. Известно, что два из них равны между собой, а третье отлично от них. Найдите, какое из чисел отлично от двух других.
Осуществить самопроверку (ответы на слайдах).
Приведите приведённую блок – схему в формульное описание (сведите все
действия в одну формулу, если это возможно).
Ответы. По горизонтали: 1. Программа. 4. Результат. 7. Ветвление. 8. Схема.
По вертикали: 2. Алгоритм. 3. Аргумент. 5. Условие. 6. Бейсик.
7. Домашнее задание. Составить блок-схему алгоритма решения
вывод «Выражение не имеет смысла»
Предварительный просмотр:
Подписи к слайдам:
Предварительный просмотр:
- Составьте по шаблону блок – схему решения задачи у = .
- Найдите и исправьте ошибки в приведённой блок – схеме. Определите значения х и у в результате выполнения алгоритма по его блок – схеме при заданных значениях а, в. Значения переменных, изменяющиеся в процессе исполнения, занесите в таблицу.
1. Составьте по шаблону блок – схему решения задачи.
Заданы три числа – а, в, с. Известно, что два из них равны между собой, а третье отлично
от них. Найдите, какое из чисел отлично от двух других.
2. Найдите и исправьте ошибки в приведённой блок – схеме. Определите значения х и у в
результате выполнения алгоритма по его блок – схеме при заданных значениях а, в.
Значения переменных, изменяющиеся в процессе исполнения, занесите в таблицу.
По теме: методические разработки, презентации и конспекты
Основной этап урока – организация деятельности, направленная на применение полученных знаний и способов действий.Так же на уроке проводится работа по следующим направлениямработа с тестовы.
Цель урока: совершенствовать навыки составления пропорций по условию задачи, сформировать умение применять пропорции при решении задач, использовать условие и решение задачи для сохранения и укреплени.
Предлагаю план – конспект открытого урока, а также презентацию к нему. Презентация содержит иллюстративный материал к уроку математики в 5 классе по теме: «Решение задач путем составления уравнений». .
Алгоритм решения задач на составление уравнений в 5 классе.
Конспект и презентация к уроку в 9 классе по теме «Алгоритм решения квадратного уравнения».
Данный материал пригодится как ученику, так и учителю. Разбор самых простых задач на составление линейных алгоритмов.
Источник
Алгоритмы
Алгоритмы. Разработка алгоритма решения задачи
Исключительно важно использовать язык блок-схем при разработке алгоритма решения задачи. Решение одной и той же задачи может быть реализовано с помощью различных алгоритмов, отличающихся друг от друга как по времени счета и объему вычислений, так и по своей сложности. Запись этих алгоритмов с помощью блок-схем позволяет сравнивать их, выбирать наилучший алгоритм, упрощать, находить и устранять ошибки.
Отказ от языка блок-схем при разработке алгоритма и разработка алгоритма сразу на языке программирования приводит к значительным потерям времени, к выбору неоптимального алгоритма. Поэтому необходимо изначально разработать алгоритм решения задачи на языке блок-схем, после чего алгоритм перевести на язык программирования.
При разработке алгоритма сложной задачи используется метод пошаговой детализации. На первом шаге продумывается общая структура алгоритма без детальной проработки отдельных его частей. Блоки, требующие детализации, обводятся пунктирной линией и на последующих шагах разработки алгоритма продумываются и детализируются.
В процессе разработки алгоритма решения задачи можно выделить следующие этапы:
- Этап 1 . Математическое описание решения задачи.
- Этап 2 . Определение входных и выходных данных.
- Этап 3 . Разработка алгоритма решения задачи.
Базовые алгоритмические конструкции
В теории программирования доказано, что для записи любого, сколь угодно сложного алгоритма достаточно трех базовых структур:
- следование (линейный алгоритм);
- ветвление (разветвляющийся алгоритм);
- цикл-пока (циклический алгоритм).
Линейные алгоритмы
Линейный алгоритм образуется из последовательности действий, следующих одно за другим. Например, для определения площади прямоугольника необходимо сначала задать длину первой стороны, затем задать длину второй стороны, а уже затем по формуле вычислить его площадь.

Пример
ЗАДАЧА. Разработать алгоритм вычисления гипотенузы прямоугольного треугольника по известным значениям длин его катетов a и b.
На примере данной задачи рассмотрим все три этапа разработки алгоритма решения задачи:
Этап 1. Математическое описание решения задачи.
Математическим решением задачи является известная формула:
,
где с-длина гипотенузы, a, b – длины катетов.
Этап 2. Определение входных и выходных данных.
Входными данными являются значения катетов a и b. Выходными данными является длина гипотенузы – c.
Этап 3. Разработка алгоритма решения задачи.
На данной схеме цифрами указаны номера элементов алгоритма, которые соответствуют номерам пунктов словесного описания алгоритма.

Разветвляющиеся алгоритмы
Алгоритм ветвления содержит условие, в зависимости от которого выполняется та или иная последовательность действий.

Пример
ЗАДАЧА. Разработать алгоритм вычисления наибольшего числа из двух чисел x и y.
Этап 1. Математическое описание решения задачи.
Из курса математики известно, если x > y, то наибольшее число x, если x y, то переход к шагу 6, иначе к шагу 7.
Вывод информации: число x больше y. Переход к шагу 8.Вывод информации: число y больше x. Переход к шагу 8.Конец алгоритма.

В схеме алгоритма решения задачи цифрами указаны номера элементов алгоритма, которые соответствуют номерам шагов словесного описания алгоритма
В рассматриваемом алгоритме (рис.3) имеются три ветви решения задачи:
- первая: это элементы 1, 2, 3, 4, 8.
- вторая: это элементы 1, 2, 3, 5, 6, 8
- третья: это элементы 1, 2, 3, 5, 7, 8.
Выбор ветви определяется значениями x и y в элементах 3 и 5, которые являются условиями, определяющими порядок выполнения элементов алгоритма. Если условие (равенство), записанное внутри символа «решение», выполняется при введенных значениях x и y, то следующими выполняется элементы 4 и 8. Это следует из того, что они соединены линией с надписью «да» и направление (последовательность) вычислений обозначена стрелочкой.
Если условие в элементе 3 не выполняется, то следующим выполняется элемент 5. Он соединен с элементом 3 линией с надписью «нет». Если условие, записанное в элементе 5, выполняется, то выполняется элементы 6 и 8, в противном случае выполняются элементы 7 и 8.
Циклические алгоритмы
Циклический алгоритм – определяет повторение некоторой части действий (операций), пока не будет нарушено условие, выполнение которого проверяется в начале цикла. Совокупность операций, выполняемых многократно, называется телом цикла.

Алгоритмы, отдельные действия в которых многократно повторяются, называются циклическими алгоритмами, Совокупность действий, связанную с повторениями, называют циклом.
При разработке алгоритма циклической структуры выделяют следующие понятия:
- параметр цикла – величина, с изменением значения которой связано многократное выполнение цикла;
- начальное и конечное значения параметров цикла;
- шаг цикла – значение, на которое изменяется параметр цикла при каждом повторении.
Цикл организован по определенным правилам. Циклический алгоритм состоит из подготовки цикла, тела цикла и условия продолжения цикла.

В подготовку цикла входят действия, связанные с заданием исходных значений для параметров цикла:
- начальные значения цикла;
- конечные значения цикла;
- шаг цикла.
- многократно повторяющиеся действия для вычисления искомых величин;
- подготовка следующего значения параметра цикла;
- подготовка других значений, необходимых для повторного выполнения действий в теле цикла.
В условии продолжения цикла определяется допустимость выполнения повторяющихся действий. Если параметр цикла равен или превысил конечное значение цикла, то выполнение цикла должно быть прекращено.
Пример
ЗАДАЧА. Разработать алгоритм вычисления суммы натуральных чисел от 1 до 100.
Этап 1. Математическое описание решения задачи.
Обозначим сумму натуральных чисел через S. Тогда формула вычисления суммы натуральных чисел от 1 до 100 может быть записана так:

где Xi – натуральное число X c номером i, который изменяется от 1 до n, n=100 – количество натуральных чисел.
Этап 2. Определение входных и выходных данных.
Входными данными являются натуральные числа: 1, 2, 3, 4, 5, …, 98, 99, 100.
Выходные данные – значение суммы членов последовательности натуральных чисел.
Параметр цикла – величина, определяющая количество повторений цикла. В нашем случае i – номер натурального числа.
Подготовка цикла заключается в задании начального и конечного значений параметра цикла.
- начальное значение параметра цикла равно 1,
- конечное значение параметра цикла равно n,
- шаг цикла равен 1.
Для корректного суммирования необходимо предварительно задать начальное значение суммы, равное 0.
Тело цикла. В теле цикла будет выполняться накопление значения суммы чисел, а также вычисляться следующее значение параметра цикла по формулам:
Условие продолжения цикла: цикл должен повторяться до тех пор, пока не будет добавлен последний член последовательности натуральных чисел, т.е. пока параметр цикла будет меньше или равен конечному значению параметра цикла.
Этап 3. Разработка алгоритма решения задачи.
Введем обозначения: S – сумма последовательности, i – значение натурального числа.
Начальное значение цикла i=1, конечное значение цикла i =100, шаг цикла 1.
Источник
| Словесное описание алгоритма | Запись алгоритма на языке блок-схем |
|
